This page was generated from
examples/ConsRiskyContribModel/RiskyContribConsumerType.ipynb.
Interactive online version:
.
Download notebook.
Interactive online version:
“Risky Contribution” Model (UNKNOWN / UNEXPLAINED)#
[1]:
from time import time
import numpy as np
from HARK.ConsumptionSaving.ConsRiskyContribModel import (
RiskyContribConsumerType,
init_risky_contrib,
)
[2]:
def plot_slices_3d(
functions,
bot_x,
top_x,
y_slices,
N=300,
y_name=None,
titles=None,
ax_labs=None,
):
import matplotlib.pyplot as plt
if type(functions) == list:
function_list = functions
else:
function_list = [functions]
nfunc = len(function_list)
# Initialize figure and axes
fig = plt.figure(figsize=plt.figaspect(1.0 / nfunc))
# Create x grid
x = np.linspace(bot_x, top_x, N, endpoint=True)
for k in range(nfunc):
ax = fig.add_subplot(1, nfunc, k + 1)
for y in y_slices:
if y_name is None:
lab = ""
else:
lab = y_name + "=" + str(y)
z = function_list[k](x, np.ones_like(x) * y)
ax.plot(x, z, label=lab)
if ax_labs is not None:
ax.set_xlabel(ax_labs[0])
ax.set_ylabel(ax_labs[1])
# ax.imshow(Z, extent=[bottom[0],top[0],bottom[1],top[1]], origin='lower')
# ax.colorbar();
if titles is not None:
ax.set_title(titles[k])
ax.set_xlim([bot_x, top_x])
if y_name is not None:
ax.legend()
plt.show()
def plot_slices_4d(
functions,
bot_x,
top_x,
y_slices,
w_slices,
N=300,
slice_names=None,
titles=None,
ax_labs=None,
):
import matplotlib.pyplot as plt
if type(functions) == list:
function_list = functions
else:
function_list = [functions]
nfunc = len(function_list)
nws = len(w_slices)
# Initialize figure and axes
fig = plt.figure(figsize=plt.figaspect(1.0 / nfunc))
# Create x grid
x = np.linspace(bot_x, top_x, N, endpoint=True)
for j in range(nws):
w = w_slices[j]
for k in range(nfunc):
ax = fig.add_subplot(nws, nfunc, j * nfunc + k + 1)
for y in y_slices:
if slice_names is None:
lab = ""
else:
lab = (
slice_names[0]
+ "="
+ str(y)
+ ","
+ slice_names[1]
+ "="
+ str(w)
)
z = function_list[k](x, np.ones_like(x) * y, np.ones_like(x) * w)
ax.plot(x, z, label=lab)
if ax_labs is not None:
ax.set_xlabel(ax_labs[0])
ax.set_ylabel(ax_labs[1])
# ax.imshow(Z, extent=[bottom[0],top[0],bottom[1],top[1]], origin='lower')
# ax.colorbar();
if titles is not None:
ax.set_title(titles[k])
ax.set_xlim([bot_x, top_x])
if slice_names is not None:
ax.legend()
plt.show()
[3]:
# Solve an infinite horizon version
# Get initial parameters
par_infinite = init_risky_contrib.copy()
# And make the problem infinite horizon
par_infinite["cycles"] = 0
# and sticky
par_infinite["AdjustPrb"] = [1.0]
# and with a withdrawal tax
par_infinite["tau"] = [0.1]
par_infinite["DiscreteShareBool"] = False
par_infinite["vFuncBool"] = False
# Create agent and solve it.
inf_agent = RiskyContribConsumerType(tolerance=1e-3, **par_infinite)
print("Now solving infinite horizon version; this will take a minute.")
t0 = time()
inf_agent.solve(verbose=False)
t1 = time()
print("Converged!")
print("Solving took " + str(t1 - t0) + " seconds.")
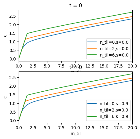
# Plot policy functions
periods = [0]
n_slices = [0, 2, 6]
mMax = 20
dfracFunc = [inf_agent.solution[t].stage_sols["Reb"].dfracFunc_Adj for t in periods]
ShareFunc = [inf_agent.solution[t].stage_sols["Sha"].ShareFunc_Adj for t in periods]
cFuncFxd = [inf_agent.solution[t].stage_sols["Cns"].cFunc for t in periods]
# Rebalancing
plot_slices_3d(
dfracFunc,
0,
mMax,
y_slices=n_slices,
y_name="n",
titles=["t = " + str(t) for t in periods],
ax_labs=["m", "d"],
)
# Share
plot_slices_3d(
ShareFunc,
0,
mMax,
y_slices=n_slices,
y_name="n",
titles=["t = " + str(t) for t in periods],
ax_labs=["m", "S"],
)
# Consumption
shares = [0.0, 0.9]
plot_slices_4d(
cFuncFxd,
0,
mMax,
y_slices=n_slices,
w_slices=shares,
slice_names=["n_til", "s"],
titles=["t = " + str(t) for t in periods],
ax_labs=["m_til", "c"],
)
Now solving infinite horizon version; this will take a minute.
Converged!
Solving took 56.126394510269165 seconds.



Finished cycle #33 in 0.23700881004333496 seconds, solution distance = 0.29994891455331896
Finished cycle #34 in 0.23842740058898926 seconds, solution distance = 0.27712340619595466
Finished cycle #35 in 0.23628592491149902 seconds, solution distance = 0.2563385123086519
Finished cycle #36 in 0.23638415336608887 seconds, solution distance = 0.23736831493689436
Finished cycle #37 in 0.23799729347229004 seconds, solution distance = 0.22001247043174033
Finished cycle #38 in 0.24099016189575195 seconds, solution distance = 0.2041307958435148
Finished cycle #39 in 0.24204635620117188 seconds, solution distance = 0.1895511158691363
Finished cycle #40 in 0.24039459228515625 seconds, solution distance = 0.17614114810584525
Finished cycle #41 in 0.24804925918579102 seconds, solution distance = 0.16379223371877671
Finished cycle #42 in 0.23607158660888672 seconds, solution distance = 0.15240148828154432
Finished cycle #43 in 0.24167418479919434 seconds, solution distance = 0.14188487999826904
Finished cycle #44 in 0.24086308479309082 seconds, solution distance = 0.13216482757643888
Finished cycle #45 in 0.2350912094116211 seconds, solution distance = 0.12317119440462676
Finished cycle #46 in 0.23387527465820312 seconds, solution distance = 0.1148412372958667
Finished cycle #47 in 0.245802640914917 seconds, solution distance = 0.1071190115202647
Finished cycle #48 in 0.24527525901794434 seconds, solution distance = 0.09995443417609451
Finished cycle #49 in 0.23836779594421387 seconds, solution distance = 0.09330220644322651
Finished cycle #50 in 0.2500934600830078 seconds, solution distance = 0.08712305238126916
Finished cycle #51 in 0.2407543659210205 seconds, solution distance = 0.08137793451099284
Finished cycle #52 in 0.24480748176574707 seconds, solution distance = 0.07603087196451241
Finished cycle #53 in 0.24602246284484863 seconds, solution distance = 0.07105207269190572
Finished cycle #54 in 0.24190545082092285 seconds, solution distance = 0.06641377226958056
Finished cycle #55 in 0.2417135238647461 seconds, solution distance = 0.06209046840455912
Finished cycle #56 in 0.23904681205749512 seconds, solution distance = 0.05806039214042258
Finished cycle #57 in 0.23853373527526855 seconds, solution distance = 0.0543016349872083
Finished cycle #58 in 0.24446892738342285 seconds, solution distance = 0.050792355429262415
Finished cycle #59 in 0.23846030235290527 seconds, solution distance = 0.04751525941490797
Finished cycle #60 in 0.23834943771362305 seconds, solution distance = 0.044454484600144895
Finished cycle #61 in 0.24232697486877441 seconds, solution distance = 0.04159298664174571
Finished cycle #62 in 0.23842740058898926 seconds, solution distance = 0.0389188115968615
Finished cycle #63 in 0.24158263206481934 seconds, solution distance = 0.03641910755728617
Finished cycle #64 in 0.24176406860351562 seconds, solution distance = 0.03408188475658491
Finished cycle #65 in 0.24629855155944824 seconds, solution distance = 0.03189605043228383
Finished cycle #66 in 0.23747467994689941 seconds, solution distance = 0.029851355475425834
Finished cycle #67 in 0.24113821983337402 seconds, solution distance = 0.027938308926213296
Finished cycle #68 in 0.24250006675720215 seconds, solution distance = 0.02614812496521779
Finished cycle #69 in 0.2368030548095703 seconds, solution distance = 0.024472707091931056
Finished cycle #70 in 0.24219918251037598 seconds, solution distance = 0.022904506785693002
Finished cycle #71 in 0.23986268043518066 seconds, solution distance = 0.021436548979984593
Finished cycle #72 in 0.24063372611999512 seconds, solution distance = 0.02006369692858101
Finished cycle #73 in 0.24188923835754395 seconds, solution distance = 0.01877843821991476
Finished cycle #74 in 0.24191570281982422 seconds, solution distance = 0.01757256485253933
Finished cycle #75 in 0.23726272583007812 seconds, solution distance = 0.016443733161427332
Finished cycle #76 in 0.24784588813781738 seconds, solution distance = 0.015386928487888696
Finished cycle #77 in 0.24249696731567383 seconds, solution distance = 0.014398454963458818
Finished cycle #78 in 0.2388439178466797 seconds, solution distance = 0.013473205667235533
Finished cycle #79 in 0.23897767066955566 seconds, solution distance = 0.012606505619487507
Finished cycle #80 in 0.23634552955627441 seconds, solution distance = 0.011794968634792014
Finished cycle #81 in 0.23593401908874512 seconds, solution distance = 0.011035290447981794
Finished cycle #82 in 0.24188995361328125 seconds, solution distance = 0.010323520782613116
Finished cycle #83 in 0.2406473159790039 seconds, solution distance = 0.009657068564937532
Finished cycle #84 in 0.23662972450256348 seconds, solution distance = 0.009033021861213797
Finished cycle #85 in 0.24515485763549805 seconds, solution distance = 0.008448680465587444
Finished cycle #86 in 0.24194121360778809 seconds, solution distance = 0.007901529967000442
Finished cycle #87 in 0.24025249481201172 seconds, solution distance = 0.007389222628706449
Finished cycle #88 in 0.23914432525634766 seconds, solution distance = 0.0069095629369329
Finished cycle #89 in 0.2426466941833496 seconds, solution distance = 0.006460495805733046
Finished cycle #90 in 0.23419928550720215 seconds, solution distance = 0.00604009682174933
Finished cycle #91 in 0.24608159065246582 seconds, solution distance = 0.005646562955103462
Finished cycle #92 in 0.2363889217376709 seconds, solution distance = 0.00527820455410577
Finished cycle #93 in 0.23595285415649414 seconds, solution distance = 0.004933437991201828
Finished cycle #94 in 0.24736976623535156 seconds, solution distance = 0.004610778604646981
Finished cycle #95 in 0.2406766414642334 seconds, solution distance = 0.004308834859578781
Finished cycle #96 in 0.2429969310760498 seconds, solution distance = 0.004026302266076698
Finished cycle #97 in 0.2385423183441162 seconds, solution distance = 0.003761957277351513
Finished cycle #98 in 0.23572444915771484 seconds, solution distance = 0.0035146519986142266
Finished cycle #99 in 0.23773670196533203 seconds, solution distance = 0.0032833094678750285
Finished cycle #100 in 0.24480390548706055 seconds, solution distance = 0.0030669193503207737
Finished cycle #101 in 0.23711705207824707 seconds, solution distance = 0.0028645339391815128
Finished cycle #102 in 0.23744726181030273 seconds, solution distance = 0.0026752644036172057
Finished cycle #103 in 0.23840546607971191 seconds, solution distance = 0.0024982772444062107
Finished cycle #104 in 0.23538708686828613 seconds, solution distance = 0.0023328323511329074
Finished cycle #105 in 0.23458385467529297 seconds, solution distance = 0.002178333119072562
Finished cycle #106 in 0.23614239692687988 seconds, solution distance = 0.002033848779593228
Finished cycle #107 in 0.2383708953857422 seconds, solution distance = 0.0018987560781837942
Finished cycle #108 in 0.23924636840820312 seconds, solution distance = 0.001772464733409862
Finished cycle #109 in 0.24867653846740723 seconds, solution distance = 0.0016544173642891735
Finished cycle #110 in 0.23617959022521973 seconds, solution distance = 0.0015440893104674558
Finished cycle #111 in 0.23368191719055176 seconds, solution distance = 0.001440987570251906
Finished cycle #112 in 0.24388575553894043 seconds, solution distance = 0.0013446493424176253
Finished cycle #113 in 0.24480247497558594 seconds, solution distance = 0.001254640439277921
Finished cycle #114 in 0.23627519607543945 seconds, solution distance = 0.0011705536868369393
Finished cycle #115 in 0.23915648460388184 seconds, solution distance = 0.0010920073625086957
Finished cycle #116 in 0.24079298973083496 seconds, solution distance = 0.0010186436927313025
Finished cycle #117 in 0.23693060874938965 seconds, solution distance = 0.0009501274203458365
Converged!
Solving took 27.963370084762573 seconds.



[4]:
# Solve a short, finite horizon version
par_finite = init_risky_contrib.copy()
# Four period model
par_finite["PermGroFac"] = [2.0, 1.0, 0.1, 1.0]
par_finite["PermShkStd"] = [0.1, 0.1, 0.0, 0.0]
par_finite["TranShkStd"] = [0.2, 0.2, 0.0, 0.0]
par_finite["AdjustPrb"] = [0.5, 0.5, 1.0, 1.0]
par_finite["tau"] = [0.1, 0.1, 0.0, 0.0]
par_finite["LivPrb"] = [1.0, 1.0, 1.0, 1.0]
par_finite["T_cycle"] = 4
par_finite["T_retire"] = 0
par_finite["T_age"] = 4
# Adjust discounting and returns distribution so that they make sense in a
# 4-period model
par_finite["DiscFac"] = 0.95**15
par_finite["Rfree"] = 4 * [1.03**15]
par_finite["RiskyAvg"] = 1.08**15 # Average return of the risky asset
par_finite["RiskyStd"] = 0.20 * np.sqrt(15) # Standard deviation of (log) risky returns
# Create and solve
contrib_agent = RiskyContribConsumerType(**par_finite)
print("Now solving")
t0 = time()
contrib_agent.solve()
t1 = time()
print("Solving took " + str(t1 - t0) + " seconds.")
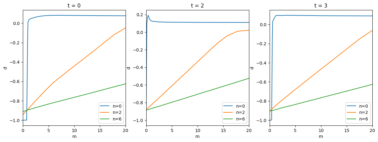
# Plot Policy functions
periods = [0, 2, 3]
dfracFunc = [contrib_agent.solution[t].stage_sols["Reb"].dfracFunc_Adj for t in periods]
ShareFunc = [contrib_agent.solution[t].stage_sols["Sha"].ShareFunc_Adj for t in periods]
cFuncFxd = [contrib_agent.solution[t].stage_sols["Cns"].cFunc for t in periods]
# Rebalancing
plot_slices_3d(
dfracFunc,
0,
mMax,
y_slices=n_slices,
y_name="n",
titles=["t = " + str(t) for t in periods],
ax_labs=["m", "d"],
)
# Share
plot_slices_3d(
ShareFunc,
0,
mMax,
y_slices=n_slices,
y_name="n",
titles=["t = " + str(t) for t in periods],
ax_labs=["m", "S"],
)
# Consumption
plot_slices_4d(
cFuncFxd,
0,
mMax,
y_slices=n_slices,
w_slices=shares,
slice_names=["n_til", "s"],
titles=["t = " + str(t) for t in periods],
ax_labs=["m_til", "c"],
)
Now solving
Solving took 2.4758927822113037 seconds.



[5]:
contrib_agent.track_vars = [
"pLvl",
"t_age",
"Adjust",
"mNrm",
"nNrm",
"mNrmTilde",
"nNrmTilde",
"aNrm",
"cNrm",
"Share",
"dfrac",
]
contrib_agent.T_sim = 4
contrib_agent.AgentCount = 10
contrib_agent.initialize_sim()
contrib_agent.simulate()
[5]:
{'pLvl': array([[1.83724637, 2.15595261, 1.91816941, 1.99013197, 1.99013197,
1.99013197, 2.33281233, 2.15595261, 1.83724637, 2.33281233],
[3.37547423, 4.45166913, 3.96068797, 3.3849365 , 3.81741028,
3.65636274, 3.96778793, 4.45166913, 3.37547423, 3.96778793],
[3.63868123, 4.26952778, 3.79863526, 3.36823518, 4.45265088,
3.50676159, 4.0963978 , 3.78583369, 3.35881959, 3.37432652],
[0.36386812, 0.42695278, 0.37986353, 0.33682352, 0.44526509,
0.35067616, 0.40963978, 0.37858337, 0.33588196, 0.33743265]]),
't_age': array([[1., 1., 1., 1., 1., 1., 1., 1., 1., 1.],
[2., 2., 2., 2., 2., 2., 2., 2., 2., 2.],
[3., 3., 3., 3., 3., 3., 3., 3., 3., 3.],
[4., 4., 4., 4., 4., 4., 4., 4., 4., 4.]]),
'Adjust': array([[1., 0., 1., 0., 0., 0., 0., 0., 1., 0.],
[1., 0., 0., 0., 0., 1., 1., 1., 0., 1.],
[0., 0., 1., 1., 0., 1., 1., 1., 1., 1.],
[1., 1., 1., 1., 1., 1., 1., 1., 1., 1.]]),
'mNrm': array([[ 1.7396297 , 2.85429886, 1.82608994, 2.58872933, 2.11586078,
2.94575906, 1.50382414, 1.76401116, 1.15190906, 1.91653887],
[ 1.01065891, 1.72472332, 1.00968883, 1.27363142, 1.28550145,
1.58012839, 1.27310682, 0.41168561, 0.29715309, 1.11452046],
[ 0.8799056 , 1.65162077, 1.03550326, 1.53831045, 1.49185838,
1.29797922, 0.9894663 , 1.15746335, 0.95923932, 1.04751409],
[18.49180323, 57.1016621 , 29.20107024, 37.13595399, 51.29303989,
40.46577786, 29.05715125, 34.14688703, 24.2255914 , 31.60469117]]),
'nNrm': array([[ 0. , 0. , 0. , 0. , 0. ,
0. , 0. , 0. , 0. , 0. ],
[ 0.13862387, 0. , 0.13912006, 0. , 0. ,
0. , 0. , 0. , 0.03374891, 0. ],
[ 0.25778367, 0. , 0.21505308, 0. , 0. ,
0.37471158, 0.28133021, 0.27836829, 0.08890649, 0.29612518],
[19.54385104, 0. , 11.89219579, 14.07365529, 0. ,
15.45915127, 12.00867278, 13.47015785, 9.65975936, 12.77004837]]),
'mNrmTilde': array([[ 1.65100729, 2.85429886, 1.73046931, 2.58872933, 2.11586078,
2.94575906, 1.50382414, 1.76401116, 1.11711147, 1.91653887],
[ 1.02405789, 1.72472332, 1.00968883, 1.27363142, 1.28550145,
1.41334997, 1.15048232, 0.38875133, 0.29715309, 1.01318479],
[ 0.8799056 , 1.65162077, 1.09213394, 1.35082765, 1.49185838,
1.46675106, 1.11082245, 1.25638835, 0.91946291, 1.17352253],
[34.77319708, 52.08942561, 37.57800413, 46.85416781, 46.78436656,
51.16664803, 37.55366842, 43.55399565, 30.98370762, 40.58650103]]),
'nNrmTilde': array([[0.08862241, 0. , 0.09562063, 0. , 0. ,
0. , 0. , 0. , 0.03479759, 0. ],
[0.12373612, 0. , 0.13912006, 0. , 0. ,
0.16677841, 0.12262449, 0.02293428, 0.03374891, 0.10133568],
[0.25778367, 0. , 0.1584224 , 0.1874828 , 0. ,
0.20593975, 0.15997405, 0.17944328, 0.1286829 , 0.17011675],
[3.2624572 , 5.01223649, 3.5152619 , 4.35544147, 4.50867333,
4.7582811 , 3.51215561, 4.06304923, 2.90164315, 3.78823851]]),
'aNrm': array([[2.01389511e-01, 7.98664555e-01, 2.29151701e-01, 6.65929588e-01,
4.36129582e-01, 8.45496022e-01, 1.61802501e-01, 2.74211281e-01,
3.27108862e-02, 3.44139140e-01],
[2.23957737e-01, 6.35591274e-01, 2.10070652e-01, 4.08448018e-01,
4.14352862e-01, 3.80149080e-01, 2.78111197e-01, 1.38764468e-02,
3.65889720e-03, 2.29441921e-01],
[2.35097589e-01, 7.46869901e-01, 3.75190972e-01, 4.80895865e-01,
6.69490092e-01, 5.25254257e-01, 3.83089622e-01, 4.41076882e-01,
3.08909917e-01, 4.07210911e-01],
[1.00481112e+01, 1.51818491e+01, 1.08986903e+01, 1.37052917e+01,
1.35901832e+01, 1.50037008e+01, 1.08918409e+01, 1.27036209e+01,
8.91125437e+00, 1.18071489e+01]]),
'cNrm': array([[ 1.44961778, 2.0556343 , 1.50131761, 1.92279974, 1.67973119,
2.10026304, 1.34202164, 1.48979988, 1.08440058, 1.57239973],
[ 0.80010015, 1.08913205, 0.79961818, 0.8651834 , 0.87114858,
1.03320089, 0.87237112, 0.37487488, 0.29349419, 0.78374287],
[ 0.64480801, 0.90475087, 0.71694297, 0.86993178, 0.82236828,
0.9414968 , 0.72773283, 0.81531146, 0.61055299, 0.76631162],
[24.72508585, 36.9075765 , 26.67931387, 33.14887609, 33.19418333,
36.16294725, 26.66182753, 30.85037478, 22.07245325, 28.77935209]]),
'Share': array([[0.09646246, 0. , 0.09854506, 0. , 0. ,
0. , 0. , 0. , 0.05940106, 0. ],
[0.18610732, 0. , 0.09854506, 0. , 0. ,
0.19149017, 0.19213122, 0.18270903, 0.05940106, 0.19272752],
[0.18610732, 0. , 0. , 0. , 0. ,
0. , 0. , 0. , 0. , 0. ],
[0. , 0. , 0. , 0. , 0. ,
0. , 0. , 0. , 0. , 0. ]]),
'dfrac': array([[ 0.05094326, 0. , 0.05236359, 0. , 0. ,
0. , 0. , 0. , 0.03020863, 0. ],
[-0.10739674, 0. , 0. , 0. , 0. ,
0.10554738, 0.09631909, 0.05570825, 0. , 0.09092312],
[ 0. , 0. , -0.26333353, 0.12187579, 0. ,
-0.45040464, -0.43136554, -0.35537454, 0.04146662, -0.42552421],
[-0.83306989, 0.08777742, -0.70440599, -0.69052521, 0.08790029,
-0.69220295, -0.70753174, -0.69836662, -0.69961538, -0.70334971]])}
[6]:
import pandas as pd
df = contrib_agent.history
# Add an id to the simulation results
agent_id = np.arange(contrib_agent.AgentCount)
df["id"] = np.tile(agent_id, (contrib_agent.T_sim, 1))
# Flatten variables
df = {k: v.flatten(order="F") for k, v in df.items()}
# Make dataframe
df = pd.DataFrame(df)
[ ]: